
최근, 미국에 있는 많은 유학생들이 정부와 학교 관계자(DSO or Designated School Official)로부터 예상치 못한 통지를 받고 있습니다. F-1 학생 비자가 취소되었고 SEVIS 기록이 폐쇄(또는 종료 terimnation)되었다는 내용입니다. 특이한 것은 과거와 달리, 학생이나 학교에 사전통보도 없이, 본인의 SEVIS 기록을 확인하는 과정에서 알게 된 경우도 많기 때문에, 이로 인해 많은 혼란과 스트레스를 호소하고 있습니다.
이러한 급박한 상황에서 , 많은 학생들(또는 그 부모들이 주로 하는 질문은 다음과 같습니다.
1. 저는 여전히 합법적인 신분인가요?
2. 미국을 떠나야 하나요?
3. 학업을 계속할 수 있나요?
4. Campus job을 계속할 수 있나요?
5. OPT job을 계속해도 되나요?
4. 이에 이의를 제기하고 소명할 방법이 있나요?
**************************************************************************************************************
이 글 이런 상황에 처해 있는 경우 취할 수 있는 가능한 대응방안을 간략히 설명하고자 합니다.
1. F-1 비자가 취소되는 이유는 무엇인가요?
미국 국무부(Department of State or DOS)는 현재 미국이민법 위반이나 형사 유죄 판결이 없이도 정부가 비자를 취소할 수 있도록 하는 자체 재량적 절차인, 소위 " Prudential Visa Revocation "라는 절차를 점점 더 많이 허용하고 있습니다. 이 재량절차하에 비자가 취소되는 일반적인 사유는 대략 다음과 같습니다.
• 과거 미국 또는 외국에서 체포 또는 형사 고발 기록
• 현재 미국 행정부(또는 외국정부기관으로 부터 보고된)에서 문제가 있다고 보는 정치 참여 이력
• 과거 (또는 현재) 소셜 미디어 활동 또는 미국 이익에 해롭다고 간주되는 대중 행동 참여 기록/이력
대부분의 경우 학생들은 DOS나 DSO로 부터 비자를 취소했다는 짧은 이메일을 받습니다.(간혹 아무통지도 받지 않았으나, 자신의 SEVIS가 종료되었다는 것을 발견한 경우도 있으니 현재 미국에 학생신분으로 체류중인 분들은 각자 확인해 보기를 권해드립니다.) 이때, 중요한 법리적 이해를 하셔야 합니다. 즉, 비자는 미국 입국에만 필요하며, 취소로 인해 자동으로 합법적인 체류가 종료되지 않는다는 것을 이해하는 것이 중요합니다. .
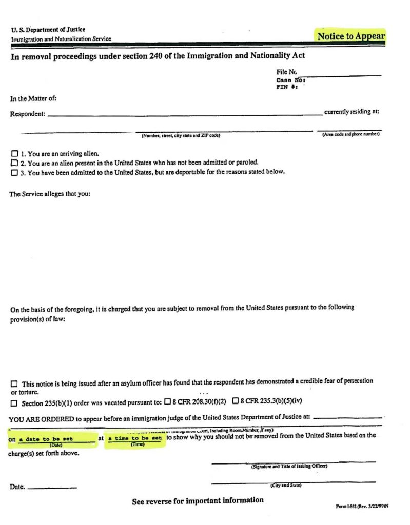
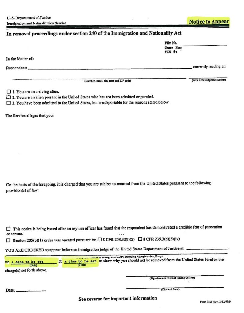
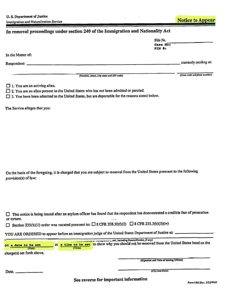
2. SEVIS 기록 종료가 무엇을 의미하는지요?
비자 취소 후 또는 때로는 동시에 또는 공식적인 비자취소 없이, 미국 이민 및 세관 집행국(ICE)에서 학생의 SEVIS 기록(외국 학생을 추적하는 데 사용되는 시스템)을 종료할 수 있습니다. 이러한 종료의 이유는 보통 다음과 같습니다.
• 학생의 체류가 "심각한 부정적인 외교 정책 결과"를 초래할 수 있음
• 학생이 신분을 유지하지 않았거나 입학 조건을 위반함.
SEVIS가 종료되면 학생은 "추방 대상(Subject to Removal)"으로 간주될 수 있습니다. 그러나 그렇다고 해서 학생이 신분을 잃었거나 즉시 떠나야 한다는 의미는 아닙니다. 단순히 정부가 추방 절차를 시작한다는 의미입니다. 즉, 여전히 이민 법원 또는 다른 방법을 통해 스스로의 권리를 변호할 기회가 있습니다. 안타깝게도 많은 학교와 학생들은 SEVIS 종료가 법적 지위 상실과 같다고 오해 하는 경우가 많습니다.
3. 미국을 즉시 떠나야 합니까?
항상 그런 것은 아닙니다. 종종 SEVIS 종료 후 ICE 또는 DOS는 구금이나 공식 추방을 피하기 위해 "자발적 출국"을 장려하는 메시지를 보냅니다. 그 결과 많은 학생들이 추방 절차에 들어가지 않고 떠납니다. 그러나 출두 통지서(NTA)를 받았고 이민 판사가 추방을 명령하지 않는 한 법적으로 떠날 의무가 없습니다.
4. 학교에 계속 다닐 수 있나요?
어떤 경우에는 가능합니다. 학교에서 등록을 유지하기로 결정한 경우입니다. SEVIS 종료로 학생 등록이 즉시 취소되지는 않습니다. 일부 학교에서는 SEVIS 데이터 수정 (SEVIS data correction)을 요청하여 문제를 해결하려고 할 수 있습니다. 그러나 학업을 계속하는 데는 위험이 따릅니다. ICE는 공식적인 기소 없이도 이런 상황에서 일부 학생을 구금했습니다. 따라서 프로그램을 계속하는 것이 허용될 수 있지만 불확실하게 느껴질 수도 있습니다.
5. 대응할 수 있는 옵션이 있나요?
네, 다음을 포함하여 이를 해결할 수 있는 방법이 여러 가지 있을 수 있습니다.
1) SEVIS 데이터 수정요청 (SEVIS data correction request): 학교에서는 SEVIS종료가 실수이거나 불공정한 경우 SEVIS에 기록을 수정해 달라고 요청할 수 있습니다. 이러한 요청이 항상 허용되는 것은 아니지만 시도해 볼만한 가치가 있습니다.
2) 미국이민국에 SEVIS/ 학생비자 복원(reinstatement) 청원서 제출: 합법적인 신분을 유지하기 위해 반드시 하시기를 권해 드립니다. 자세한 내용은 연락주시기 바랍니다.
3) 행정법원에 이의제기: 절차법에 따라 소송으로 이의제기하여 종료에 이의를 제기할 수 있습니다.
4) 연방이민법원 방어 (Defense): 만일, 정부가 추방 절차를 이미 시작했고, 관련 공식 통지서를 받았다면, 추방 가능성에 대해 이의를 제기하고, 구금된 경우 보석금을 요청하고, 귀하의 신분이 유효했다고 주장하기 위해 법원 방어절차를 진행해야 합니다.
*** 비자가 취소되었거나 SEVIS 기록이 종료되었다는 통지를 받았다면: 이민전문 변호사와 상의하기 전에 절대 출국하지 마시기 바랍니다. 항소 옵션과 합법적으로 머물기 위한 다른 옵션이 있을 수 있습니다. ****
위 문제와 관련 더 궁금한 사항이 있으시면 언제든지 연락주시기 바랍니다.
김정섭 미국변호사
프레데릭리앤킴(유)
서울 종로구 새문안로 92, 광화문오피시아 17층, 1707호
사무실: 02-6013-2256, 2257 / 551.587.8803 (미국)
이메일: jsk@flkim.com, office@flkim.com
'이민법리걸메모' 카테고리의 다른 글
| [범죄기록-음주운전] 약혼자비자를 통해 영주권까지 - 최종승인 (0) | 2025.08.06 |
|---|---|
| [SIJP 특별이민청소년청원] 미국이민국 -- SIJP 남용에 대한 본격 조사 돌입 (1) | 2025.07.25 |
| “전과가 있어도 미국 비자를 받을 수 있나요?” — 한 남자의 두 번째 기회 (2) | 2025.07.10 |
| F-1 Visa Reinstatement - 미국법원/행정부의 최종결정 !!! (0) | 2025.05.06 |
| [긴급] 주의 - 이미 비자를 발급 받은 범죄경력자 주의사항 (0) | 2025.04.06 |
| 미국시민권초청자/ 복수국적자 여권상 "미국이름"과 "한국이름"이 다른경우 (0) | 2025.04.02 |
| [I-9 절차준수의 중요성] 주재원비자 승인, 끝이 아니라 시작입니다. (0) | 2025.02.20 |
| [Crimigration] 범죄 기록 - "사전 서류 검토와 심층상담" 꼭 받으셔야 합니다. (0) | 2024.09.09 |